| Tahun | Laju Pertumbuhan Penduduk (Persen) |
|---|---|
| 2025 | 1,37 |
| 2024 | 1,32 |
| 2023 | 1,43 |
| 2022 | 1,77 |
| 2021 | 1,65 |
Grafik Laju Pertumbuhan Penduduk
Metadata Indikator Statistik
| Nama Indikator | : | Laju Pertumbuhan Penduduk |
|---|---|---|
| Konsep | : | Penduduk |
| Definisi | : | Angka yang menunjukan tingkat pertambahan penduduk pertahun dalam jangka waktu tertentu. Angka ini dinyatakan sebagai persentase dari penduduk dasar. Laju pertumbuhan penduduk dapat dihitung menggunakan tiga metode, yaitu aritmatik, geometrik, dan eksponesial. Metode yang paling sering digunakan di BPS adalah metode geometrik. |
| Interpretasi | : | Laju Pertumbuhan Penduduk (LPP): a. LPP>0 berarti terjadi penambahan penduduk pada tahun t dibandingkan dengan tahun sebelumnya. b. LPP=0 berarti tidak terjadi perubahan jumlah penduduk pada tahun t dibandingkan dengan tahun sebelumnya. c. LPP<0 berarti terjadi pengurangan jumlah penduduk pada tahun t dibandingkan dengan tahun sebelumnya. |
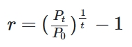
| Metode Perhitungan | : |
Menggunakan metode Geometri
|
| Rumus | : |
|
| Ukuran | : | Tingkat |
| Satuan | : | Persen |
| Sumber Data | : | BPS Kabupaten Bandung Barat |